東京で一人暮らしをしていると、水道代は「なんとなく払っている固定費」になってしまうことが多いです。電気代やガス代は気にしても、水道料金のルールまで把握している人は多くはないのではないでしょうか。実際、単身世帯の上下水道料の平均は月2300円ほどといわれています。ただし東京では、水道料金は月ごとに感覚的に見ても分かりにくい仕組みになっています。
なぜなら、東京では水道料金が2か月ごとに請求されるケースが多いためです。検針票を見ると「思ったより高い」と感じても、実は2か月分をまとめて見ているだけ、ということがよくあります。
水道料金の基本構造は、
水道料金=基本料金+従量料金
です。さらに実際の請求額は、これに下水道料金が加わります。基本料金は使用量ではなく、水道メーターの口径で決まります。東京23区では月額で13mmが860円、20mmが1170円、25mmが1460円。一人暮らし用の多くの間取りでは20mmが一般的です。
次に従量料金です。東京の水道料金は、使った量に比例して一直線に増えるのではなく、段階料金になっています。たとえば23区の一般的な口径では、1〜5m³は0円、6〜10m³は1m³ごとに22円、11〜20m³は1m³ごとに128円です。つまり、少量利用にはやさしく、一定量を超えると増え方が大きくなる設計です。

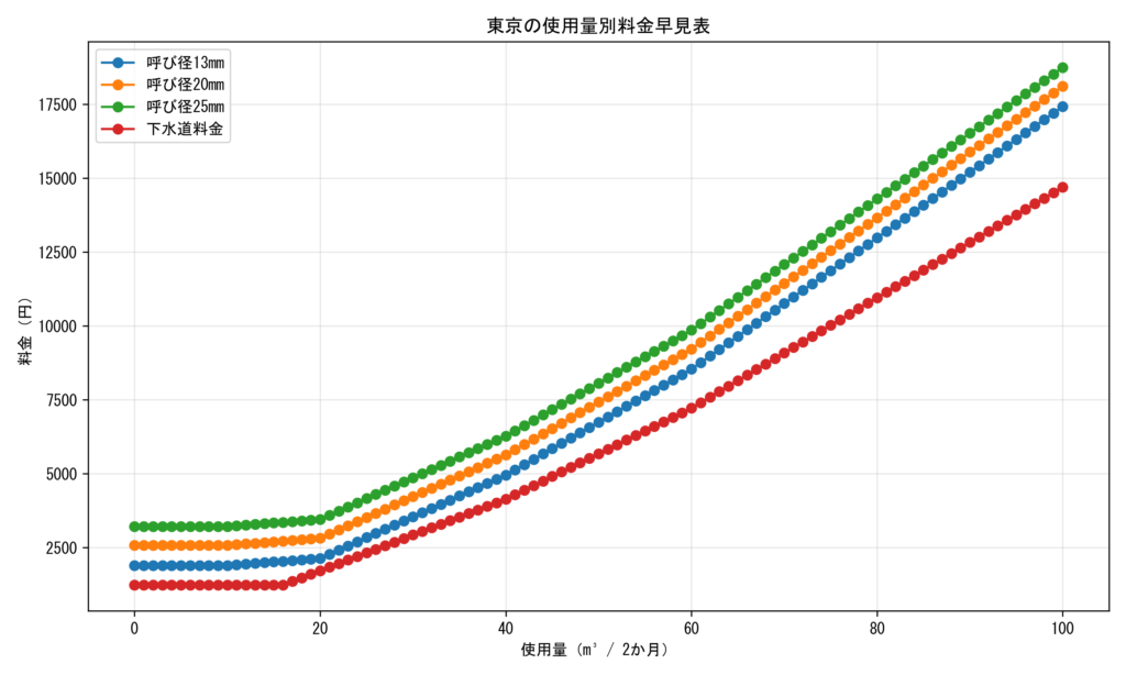
上記のグラフは、東京の水道料金を使用量ごとにプロットしたものです。呼び径13mm、20mm、25mmの3種類のメーターで料金の推移を比較しています。一般家庭では20mmが多く採用されていますが、メーターの口径が大きくなるほど基本料金が高くなるため、同じ使用量でも全体の料金が上にシフトすることが分かります。また、グラフを見ると料金は完全な直線ではなく、あるポイントで増え方が変わることが確認できます。これは水道料金が「段階料金(ブロック料金)」で設計されているためです。
こうして文章だけで記載するよりも、この料金体系をグラフにすると、この「増え方の変化」がよく見えます。特に20mmの料金と下水道料金を合算すると、一人暮らしの請求額がどのあたりに着地しやすいかが直感的に分かります。

次のグラフは、一般家庭で多い20mmメーターを前提に、料金の内訳を積み上げ棒グラフで表したものです。棒グラフの下側が下水道料金、上側が上水道料金を示しています。普段「水道代」としてまとめて認識しがちですが、実際の請求額はこの2つが合計されたものです。グラフを見ると、使用量が増えるにつれて両方の料金が増えていくことが分かります。特に一人暮らしの平均使用量に近い16m³付近を見ると、請求額がどのあたりに落ち着くのかが直感的に把握できます。
一人暮らしの使用量を月10m³前後と考えると、2か月では約20m³です。グラフでも、20mmの上水道料金は2816円、下水道料金は1716円で、合計は4532円。月あたりに直すと約2266円です。これは「一人暮らしの平均は月約2300円」という統計とも大きくはズレません。
ここで分かるのは、水道代は単なる節約精神ではなく、料金の仕組みを知ることで見え方が変わるということです。基本料金は口径でほぼ固定ですが、従量料金と下水道料金は使用量の区切りで伸び方が変わります。つまり、一人暮らしでは「どれだけ我慢するか」よりも、「自分がどの使用量帯にいるか」を把握する方がコスパがいいわけです。
水道料金は単純に「使った量」で決まるのではなく、基本料金・段階的な従量料金・下水道料金という複数の要素で構成されています。仕組みを理解すると、検針票の数字もただの請求額ではなく、自分の生活パターンを映すデータとして見えてきます。固定費を下げる第一歩は、まずルールを知ること。こうした公共料金の仕組みを知ることは、日々の生活コストを見直す意外なヒントになります。


コメント